[emi_calculator]
An EMI (Equated Monthly Installment) Calculator is an online financial tool that helps borrowers estimate the fixed monthly payment they must make over the tenure of a loan. It considers three key factors:
When you take out a loan—whether it’s for a house, car, or education—an EMI calculator turns large loan figures into simple, predictable monthly payments. It’s an easy way to plan budgets, compare offers, and understand repayment timelines.
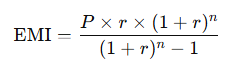
The EMI formula used worldwide is:

Where:
This ensures you pay off both principal and interest in full by the end of the tenure, with equal monthly installments.
When purchasing property in Pakistan, the U.S., or China, a home loan calculator helps you understand how much you’ll pay every month based on interest rates and loan tenure. It’s vital for managing mortgage affordability and comparing offers from multiple banks (e.g., Bank of China, HBL, or Wells Fargo).
Planning to buy a car? An EMI calculator shows you the impact of choosing a 3-year vs. 5-year loan term. You can find out which EMI fits best in your monthly income before committing.
Whether you’re financing higher education in the U.S. or a small business in Pakistan, an EMI calculator helps assess affordability and repayment flexibility. You can test how different rates or tenures change your total interest cost.
Want to see the difference between two offers — say, one from a U.S. lender and one from a Pakistani bank? Just adjust the values in the calculator to visualize which one saves you more.
Forget manual formulas or spreadsheets. With a single click, you get your exact EMI amount instantly — saving time and preventing errors.
By knowing your monthly outflow, you can ensure your repayments stay within your budget. For example, many experts in the U.S. recommend keeping your EMI under 40% of your monthly income.
An EMI calculator helps you see the total interest payable over the loan period — so you know exactly how much you’re paying the lender in total.
You can easily tweak values (loan amount, tenure, rate) to test multiple “what if” situations — ideal for comparing offers from banks in different countries.
No risk of calculation mistakes. It’s instant, accurate, and available 24/7 on your device.
Modern financial systems in Pakistan, China, and the U.S. all rely on consumer borrowing — for homes, vehicles, and personal needs.
Using an EMI calculator helps you:
This lets you make informed choices before even applying for a loan.
An EMI calculator is one of the most practical online tools for financial decision-making — whether you’re taking a mortgage in the U.S., a personal loan in Pakistan, or a vehicle loan in China.
It offers clarity, transparency, and peace of mind — empowering you to choose the best loan terms that suit your budget and goals.
Integrating an EMI calculator directly into your website not only adds value for users but also improves your SEO ranking, engagement time, and conversion rate — especially when you target finance-related keywords in your content strategy.